छत्तीसगढ में एक और बड़े घोटाले का जिन्न बाहर आ चुका है।इस घोटाले के जिन्न को सबक सिखाने केंद्र से तीन सदस्यीय टीम का आज रायपुर आगमन भी हो चुका है।

दरअसल छत्तीसगढ की राजनीति में धान की बंपर पैदावार होती है। धान खरीदी बिक्री का असर सीधे सीधे चुनाव पर पड़ता है। अब इस घोटाले का जिन्न बाहर आ चुका है।

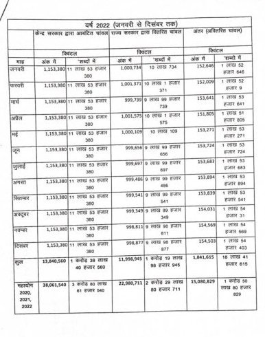
पूर्व मुख्यमंत्री डाॅक्टर रमन सिंह ने ये ख़त 12 अप्रैल 2023 को केंद्रीय मंत्री पीयूष गोयल को लिखा था। इसमें बड़े स्कैम की बात लिखी थी।
पूर्व मुख्ममंत्री डाॅक्टर रमन सिंह ने पूरे आंकड़े दिए हैं।केंद्र सरकार के द्वारा कोरोना काल में शुरू हुई गरीब खाद्यान्न योजना के अंतर्गत इसमें अनियमितता कईयों के लिए मुसीबत का सबब बन सकती है।

अब देखना ये है कि छत्तीसगढ के खाद्य मंत्री अमरजीत भगत का विभाग इस पर क्या कर पाता है।पिछले महीने ही ‘पहल’ ने खाद्य मंत्री अमरजीत भगत के एक निज कार्यालयीन कार्य के लिए रखे सचिव भूपेंद्र यादव के द्वारा सरगुजा ज़िले में किए गए बड़े भ्रष्टाचार का खुलासा किया था।

वहीं केंद्रीय टीम के आने की भनक लगते ही कुछ नौकरशाहों समेत खाद्य विभाग के बड़े अधिकारियों के होश बुरी तरह से उड़े हुए हैं।तय है कि ये मामला भी केंद्रीय जांच एजेंसी ईडी के पास जाएगा जिसमें अभी से ही दो बड़े अधिकारियों व रायपुर के कुछ प्रभावशाली नाम समेत सरगुजा संभाग के दो ज़िलों के बड़े अधिकारियों का नाम दबी जुबान पर आने शुरू हो गया है।वहीं अंदर ही अंदर खाद्य विभाग के कई अधिकारी व कर्मचारी अब खुलकर बोलने को तैयार बताए जा रहे हैं।

By @dmin

You missed